IES TM-30-2015 光源显色性评估方法简介
发布者:管理员 发布时间:2015/10/21
此标准的测试方法使用于普通室内外照明系统用的光源在明视角情况下的显色性的评估,最好是白色光源。
更准确的量化光源的显色性是一个很复杂的问题,色彩的还原性受很多方面的影响。比如色度,辩色率或色偏好,在设计规范过程中都要同时考虑。现阶段还没有一个度量或测量标准能更准确的量化光源的显色性。或确定各种应用中更合适的光源。
此技术规范通过客观和统计的方法来描述光源显色性的测量。通过量化色度(接近参照点)和色饱和度(浓度的递增或减少)。通过产生的颜色坐标图来显示色彩和浓度变化的平均值。同时具体的解释了Rf和Rg值。
标准提供了对于Rf和Rg值的计算公式和指导,包括99种色板的光谱反射率计算函数。通过一个软件工具辅助计算和显示结果。标准使用的方法综合考虑了近些年的研究成果。代表了生产,规范和照明工业最新研究的发展成果。
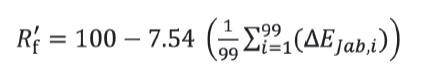
CRI显色指数是一个反映显色性的量值,在照明工业规范中经常使用。TM-30-15标准中的Rf反映了更多的CRI指数的界限值。用于白色光源的CRI, Ra和Rf参量之间有类似的量测。但是彼此之间不能简单的进行性能比较。CIE标准中的CRI采用14个测试色板进行比较。而前8个CRI值的平均值用于Ra的计算。而标准中采用—个色板来评估,每个代表一个特定的光谱反射函数。来量化同色温的测试源与参照源之间的显色差异。其色板可以代表大量的可能的颜色。样品来源于真正的实物,包括自然物,油漆涂料,纺织品,塑料和皮肤色调。
Rf的计算公式如下: 
Rg的计算公式如下:

具体描述可以参照辅助计算表格。

CN/中国
US/USA
KR/Korea
DE/Germany
ES/Spain
VN/Việtnam